Сухий залишок - це один з найголовніших критеріїв якості води, що визначає ступінь мінералізації води. Тип води можна визначити по іонно-сольовим складом. Основними іонами, які визначають кількість залишку є: карбонати, хлориди, сульфати, бікарбонати, нітрати, натрій, калій, магній, кальцій.
Сухим залишком в воді можна охарактеризувати присутність в ній нелетких розчинених твердих речовин. Залишки можуть бути мінеральні та органічні з температурою кипіння понад 105 - 110 ° C. Гравіметричним розрахунковим методом визначається характер і наявність сухого залишку. Для визначення типу сухого залишку, випробувану пробу необхідно профільтрувати для відділення від органічних домішок.
Вода використовується практично у всіх виробничих галузях. Таким виробником, який використовує при виготовленні своєї продукції тільки якісну воду, є ТОВ «КоролевФарм» . Компанія займається виробництвом: біологічно активних добавок (БАД) і косметики на контрактній основі.
Тут вода використовується як:
- Питна вода;
- сировина для виготовлення напівфабрикатів;
- засіб для миття виробничої тари.
Також від води залежать органолептичні властивості продукції, що випускається на підприємстві продукції: колір, смак, запах, стабільність. Наприклад, смак і зовнішній вигляд рідких форм БАД (Краплею, сиропів і т. П.) Залежить від містяться в воді, що використовується мінеральних речовин. Так, злегка солоний смак воді може надати присутній в ній хлорид натрію і т.д.
Якість води повинна відповідати вимогам санітарних норм. Контроль якості використовуваної води на підприємстві здійснюється в акредитованій фізико-хімічної лабораторії (ФХЛ), оснащеної необхідними засобами вимірювань.
У ФХЛ контрактного виробництва «КоролёвФарм» сухий залишок у воді визначають відповідно до Держстандарту 18164-72 «Вода питна». Вода використовуються у виробництві тільки після повного контролю на відповідність за показниками якості. У разі невідповідності по одному з показників складається протокол «невідповідності» та після проводяться коригувальні заходи.
У ТОВ «КоролевФарм» співробітниками лабораторії визначається «сухий залишок» у воді декількома методами: без додавання соди і з додаванням розчину солі.
Метод №1 без додавання соди
Цей метод полягає в випаровуванні зразка на водяній бані (рис.1).
Спочатку ємність, в якій буде випаровуватися на водяній бані випробуваний зразок, необхідно висушити до постійної маси. Потім наливають 200-500 см3 відфільтрованої води в порцелянову ємність. Після випарювання останньої проби води, чашку з вмістом висушують при температурі 110 ° С в термостаті постійної маси.
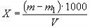
Кількість сухого залишку (Х), мг / дм3, обчислюється за формулою:

де m- значення маси ємності з сухим залишком, мг;
m1 - значення маси порожньої ємності, мг;
V - кількість води, взятої для випробування, см3.
При використанні даного методу результати виходять дещо завищеними. Відбувається це через високу гігроскопічності і гідролізу хлориду магнію і кальцію, важкою передачі води сульфатами магнію і кальцію. Цей недолік усувається додаванням чистого карбонату натрію до випробуваному зразку. В результаті додавання хлориди магнію і кальцію перейдуть в безводні карбонати. Для того, щоб видалити повністю кристаллизационную воду, отриманий сухий залишок сушать при температурі 160-180 ° С до постійної маси в термостаті.
Метод № 2 з використанням розчину соди
Попередньо фільтрується вода з використанням паперових фільтрів. Висушені до постійної маси чашки ставляться на водяну баню, де випарюють відібрані для випробування 200-500 см3 води. Після внесення останньої порції води піпеткою вносять 25 см3 1% -ного розчину натрію вуглекислого. Виходячи з розрахунку, щоб вага доданої соди був приблизно в два рази більше ваги сухого залишку, який передбачається отримати.
При необхідності подальшого випарювання періодично перемішують вміст в чашці, щоб зруйнувати утворюється кірку. Перемішування здійснюють скляною паличкою. Потім дистильованою водою обмивають паличку. Далі отриманий сухий залишок з содою в чашці міститься в термостат і сушиться при температурі 150 ° С до утворення постійної маси. Час висушування зразка води становить від 2 до 5 годин.
Обчислюють різницю по вазі між ємністю з отриманим сухим залишком і початковим вагою соди і чашки (в 1 см3 содового розчину міститься 10 мг Na2CO3). Ця різниця визначає кількість сухого залишку в випробуваному кількості води.
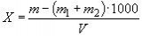
Кількість сухого залишку (Х), мг / дм3, обчислюють за формулою:

де m - значення маси ємності з сухим залишком, мг;
m1 - значення маси порожньої ємності, мг;
m2 - значення маси доданої соди, мг;
V - кількість води, взятої для випробування, см3.
З гігієнічної точки зору значення даного показника полягає в тому, що технічно можливе корегування використовуваної води (установка і використання систем фільтрації) з пониженням ступеня мінералізації.
Збалансованим вважається смак, коли загальний солевміст складає до 600 мг / л. Питна вода повинна бути мінералізована не більше ніж на 1 г / л. При вмісті у воді солей більше 1 г / л вона непридатна для пиття, так як має специфічний гірко-солоний смак. Крім того, при постійному вживанні такої води відбуваються несприятливі фізіологічні зміни в організмі: посилюється моторна і секреторна функції шлунка і кишечника, збільшується гідрофільність тканин, в жарку погоду відбувається перегрів організму. Така вода сприяє порушенню обміну речовин і може є однією з причин утворення каменів.
Отримати безпечну і якісну продукцію можна тільки при використанні добре очищеної води.
Для отримання такої води в ТОВ «КоролевФарм» її піддають багаторазової очищення за допомогою фільтраційних систем з подальшим контролем якості на всі показники.